This article, 'How to calculate a fire sprinkler system' for a simple tree system with three heads and three pipes, will demonstrate some of the basics you need to know and show you how to use the k-factor & Hazen-Williams equations.
This article will demonstrate some of the basics for carrying out fire sprinkler calculations by the long-hand method with a scientific calculator or our hydraulic calculator - Hcal2, which you can freely download from our website.
Calculate a fire sprinkler system for a small tree system.
In this example, we will use three sprinklers and three pipes, which would be part of a much larger fire sprinkler system. These basic procedures can also be used to calculate many other types of systems, such as fire hydrants, hose reels or the discharge from a water cannon or monitor. We can also use the same principle for almost all other water-based fire protection systems if we have a k-factor for the output device (fire sprinkler, water mist nozzle and so on).
This example will use a very simple system with three sprinklers and three pipes. This is often called a range or branch pipe, part of a more extensive tree system. A tree system is an 'end feed'. Water is only fed from one direction instead of a grid or loop system when water may arrive at the sprinkler head from more than one direction.
Below is a diagram of the three sprinklers and pipes, which we will calculate. We have dimensioned the pipe lengths and given each junction point a unique node reference number which we use throughout the calculations.

Step 1 - Determine the pipe systems to calculate
For each pipe, we need to know the pipe length, internal diameter (ID) of the pipe and the pipe material so we can determine the pipe c-factor, the table below summarises the pipe data which we will need for the calculation for this example:
| Node Ref | Pipe Size ID (mm) | Length (m) | C-factor |
| 130-120 | 27.30 | 3.20 | 120 |
| 120-110 | 27.30 | 3.20 | 120 |
| 110-100 | 36.00 | 3.20 | 120 |
We will also need additional information, such as the type of sprinkler head, the area each head covers, and the design density for each sprinkler head in the system.
For this example, we will use the following design parameters:
design density: 7.50 mm/min
sprinkler head: K-factor of 70 with a minimum pressure of 0.5 bar
head area: 10.20 m2
In this example, we have kept it very simple and used the same sprinkler head for all three sprinklers, but this may not always be the case, so again, it may be helpful to summarise the information in a table such as this:
| Node Ref | Design Density (mm/min) |
Sprinkler k-factor | Sprinkler minimum pressure (Bar) |
Head area (m2) |
| 130 | 7.50 | 70 | 0.5 | 10.20 |
| 120 | 7.50 | 70 | 0.5 | 10.20 |
| 110 | 7.5 | 70 | 0.5 | 10.20 |
Step 2 - Calculate the minimum flow from the first sprinkler.
We now need to calculate the minimum flow required at the most remote sprinkler (sometimes referred to as the MRH - most remote head), which is at node [130]. This is a two-step process as we will need to calculate the minimum flow required to satisfy the 7.50 mm/min design density and then find the flow rate from the sprinkler given the sprinkler minimum pressure requirement, whichever is the greater flow will become our initial flow from the first sprinkler at node [130].
First, We will calculate the flow given the design density of 7.50 mm/min and the area the head covers. We do this by multiplying the design density by the head area:
Equation 1:
q = (design density) x (area per sprinkler)
In this example, this gives:
q = 7.50 mm/min x 10.20 m2 = 76.50 L/min
The second step is to calculate the minimum flow from the sprinkler given the K-Factor and the minimum head pressure by using the standard K-Factor formula:
Equation 2:
q = kp0.5
Where
p = the required pressure
q = the required flow from the first sprinkler
k = the discharge coefficient of the sprinkler (k-factor)
In this example, this gives:
q = 70 x 0.50.5 = 49.50 L/min
By comparing the two calculations above, we can see that the minimum flow required from the sprinkler head will be 76.50 L/min as this is the highest flow rate from the two calculations and is required to meet the 7.50 mm/min design density. We can also see that the minimum sprinkler pressure of 0.5 bar is insufficient to produce the required flow rate. The next step will be determining what pressure will be required to produce the required flow of 76.50 L/min at the first sprinkler head at node [130].
Step 3 - Pressure at the first sprinkler
Now we know the required flow from the first sprinkler head (node 130), we must determine the required pressure. To do this, we can use equation 3 below.
Equation 3
p = (q/k)2
In the example, this gives:
p = (76.50 / 70)0.5 = 1.194 bar
We have determined the minimum pressure and flow for the first sprinkler at node [130], 76.50 L/min @ 1.19 bar.
Step 4 - Calculate the pressure drop in the first pipe
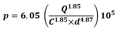
Next, we need to calculate the pressure drop in the pipe between node [130] and [120], and for this, we will use the Hazen Williams pressure loss formula.
Equation 4

Where
p = pressure loss in bar per meter
Q = flow through the pipe in L/min
C = friction loss coefficient
d = internal diameter of the pipe in mm
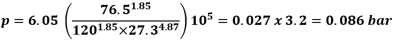
We know that the flow rate from the sprinkler at node [130] is 76.50 L/min, and this will be the flow rate in the first pipe between nodes [130]-[120]. As the pipe has an internal diameter of 27.30 mm and a C value of 120, this will give us:

Using the pressure loss equation above, we can see that the loss per metre of pipe is 0.027 bar. We now multiply this by the length of the pipe to find the total pressure loss; in this case, 0.027 bar/m x 3.20 m of pipe gives us a total pressure loss of 0.086 bar. We now need to add the pressure loss in the pipe to the pressure at the sprinkler head at node [130], which was 1.19 bar, to find to pressure at node [120] and at the seconded sprinkler head at node [120]. This gives us 1.194 bar + 0.086 bar = 1.28 bar. We have now found the pressure at the second sprinkler, node 120, is 1.28 bar.
Step 5 - Flow from the second sprinkler head
The next step is to find the flow from the second sprinkler head at node [120]. To do this, we will use the K-Factor formula.
Equation 5

As the k-factor of the sprinkler head is 70 and the pressure at the sprinkler is 1.280 bar, this gives 70 x 1.2800.5 = 79.20 L/min.
Step 6 - Determine the flow in the second pipe
If the flow from the first sprinkler is 76.50 L/min and the flow from the second sprinkler is 79.20 L/min, the total flow to feed the two sprinklers must be the sum of the two in this case, 76.5 + 79.20 = 155.70 L/min. This is the flow in pipe 120-110, illustrated in the diagram below, summarising our calculations to the end of step 6.

Step 7 - Pressure loss in the second pipe
Having found the total flow in the second pipe [120]-[110] to be 155.7 L/min, we need to find the pressure loss in this pipe. We will use the Hazen-Williams pressure loss formula, which we used in Step 4. We know the pipe's internal diameter is 27.3mm, and the flow rate from the second sprinkler is 155.7L/min, so our equation with this information it will look like this:

The pressure loss per meter of pipe is 0.099 bar/m, so to find the total pressure loss in the second pipe, we multiply this by the length of the pipe, in our case, 3.20 m. This gives us 0.099 + 3.2=0.317 bar total press loss in the second pipe (node 120-110).
Step 8 - Pressure at the third sprinkler head
To find the pressure at the third sprinkler head (node 110), we need to add the pressure at the second sprinkler (120) to the pressure loss in the pipe (120-110), which we have just calculated in step 7. In this case, it gives us 1.280 bar (pressure at the second sprinkler node 120) + 0.317 bar (pressure loss in the pipe, node 120-110); this gives us 1.597 bar as node 110 (0.317 + 1.280 = 1.597 bar). The results of the calculation are shown on the diagram below:

Step 9 -Flow from the third sprinkler head
We must now find the flow from the third sprinkler at node [110]. We do this using the k-factor equation we first used in Step 5. We now know the pressure at node [110] is 1.597 bar, and the sprinkler has a k-factor of 70, giving us 70 x 1.5970.5 = 88.50 L/min from the sprinkler head at node [110]. Now add this flow to the flow in the second pipe [120]-[110] to find the total flow in the third pipe [110]-[100], which will give us a flow of 244.20 L/min. Our calculation to the end of step 9 is summarized below:
Step 10 - Pressure loss in the last pipe
The last step is to find the pressure loss in the third pipe [110]-[100], and again we will use the Hazen-Williams pressure loss formula given in formula 4 above. However, the last pipe has an internal diameter of 36.0 mm, so this gives us the following:
We now add the pressure loss in this pipe to the pressure at node [110] to find the pressure at node [100]. This will be 0.189 + 1.597 = 1.786 bar. We have now completed the calculation for all three sprinkler heads and have found the source pressure and flow required for this system is:
244.20 L/min @ 1.786 Bar
This pressure and flow is often referred to as the source required for the system and is the minimum pressure and flow required for the system for it to be able to provide the required design density (in this example, 7.50 mm/min) at the most remote head [MRH] at node [130].
You should also be able to see that only the Most Remote Head has the minimum requirement of 7.50 mm/min design density. All the other sprinklers will have a higher pressure as they are hydraulically closer to the water source, so they will have higher pressure and discharge more water through the sprinkler. This can be seen in the table below:
| Node Ref | min Design Density (mm/min) |
Pressure (Bar) |
Flow from sprinkler (L/min) |
Head Area (m2) |
Actual Design Density |
| 130 [MRH] | 7.50 | 1.194 | 76.50 | 10.20 | 7.50 |
| 120 | 7.50 | 1.280 | 79.20 | 10.20 | 7.76 |
| 130 | 7.50 | 1.597 | 88.50 | 10.20 | 8.68 |
Sprinkler calculation step by step
- Calculate minimum flow from the MRH with the sprinkler minimum pressure and k-factor
- Calculate the minimum flow given the system design density and sprinkler head area.
- If the calculation in step 2 is the highest flow demand, calculate the required head pressure; otherwise, we can use the minimum sprinkler pressure in step 1.
- Calculate the pressure loss in the pipe.
- Add the head pressure to the pressure loss in step 4 to determine the pressure at the next sprinkler.
- Use the k-factor formula to determine the flow from the sprinkler head.
- Repeat steps 4 to 6 until you do not have any more sprinklers or pipes.